Resources

MFC XT Biosensors for Hybridoma Screening

Download the MFC XT Biosensor for Hybridoma Screening Application Note

Hybridoma screening at scale often relies on ELISA workflows that are time-consuming and limited to endpoint data. This application note shows how MFC XT biosensors enable quantitation, off-rate ranking, and affinity-based candidate triage directly from crude supernatants in a single automated BLI run.

Inside you’ll find:

  • Single-Assay Screening: Measure titer and rank binding in one automated workflow
  • Real-Time Binding Data: Identify non-binders and weak candidates earlier
  • Wide Dynamic Range: Quantitate from 0.02 to 10,000 µg/mL without extensive dilution
  • Reliable Candidate Ranking: Use off-rate data to prioritize top clones quickly
  • Reduced Manual Work: Eliminate ELISA steps and streamline screening
  • High Throughput: Screen hundreds of clones with minimal intervention

Complete the form below to access the documents

Resources

On-Demand Webinar: From AI design to validated binder – closing the loop with reversible BLI biosensors

Webinar Title: From AI design to validated binder – closing the loop with reversible BLI biosensors
Recording Date: May 6, 2026

Affinity-based protein analysis is entering a new era. As researchers push toward higher-throughput discovery, traditional tools often create bottlenecks that slow innovation.

In this webinar you will learn:

  • How Adaptyv Bio’s automated “protein foundry” accelerates validation through end-to-end workflow integration.
  • Functional differences between streptavidin, Strep-Tactin, and Strep-Tactin XT.
  • How the Strep-Tactin XT and Twin-Strep-tag pairing enables stable, reversible binding for efficient BLI sensor regeneration.
  • Methods for combining advanced affinity technologies with automated platforms to enhance speed and scale.

Host: SelectScience
Co-Host: Gator Bio

Speakers:
Ron Gill, Ph.D, Innovation Manager, Adaptyv Bio
Dr. Alexandra Nordlohne, Product Manager, Cube Biotech
Ben Osborn, Ph.D, Product Manger, Applications, Gator Bio

Moderator:
Olivia Long, Pharma and Applied Science Assistant Editor, Select Science

Resources

Optimizing BLI Assays: Effective Strategies for Reducing Non-Specific Binding

Download our new Non-Specific Binding (NSB) Application Note

Get the Complete NSB Optimization Technical Documentation

Why Download These?
Struggling with signal artifacts in complex samples?

The NSB Application Note shows you how systematic blocking strategies deliver:
✓ 90% reduction in non-specific binding
✓ 10x higher data reliability in crude lysates
✓ Accurate kinetics for low-concentration analytes
✓ Optimized protocols for BSA, detergents, and biocytin
✓ Clearer differentiation between true binding and noise

Inside you’ll find:
– Systematic NSB identification flowchart
– Step-by-step optimization protocols
– Performance data in cell culture supernatants
– Technical troubleshooting guide

Application Note Thumbnail: Optimizing BLI Assays - Effective Strategies for Reducing Non-Specific Binding (NSB)

Complete the form below to access the document

Resources

AI-Engineered NovoBodyTM-Based Probe for “High Capacity, Low Drift” BLI Analysis of His-Tagged Proteins

Resources

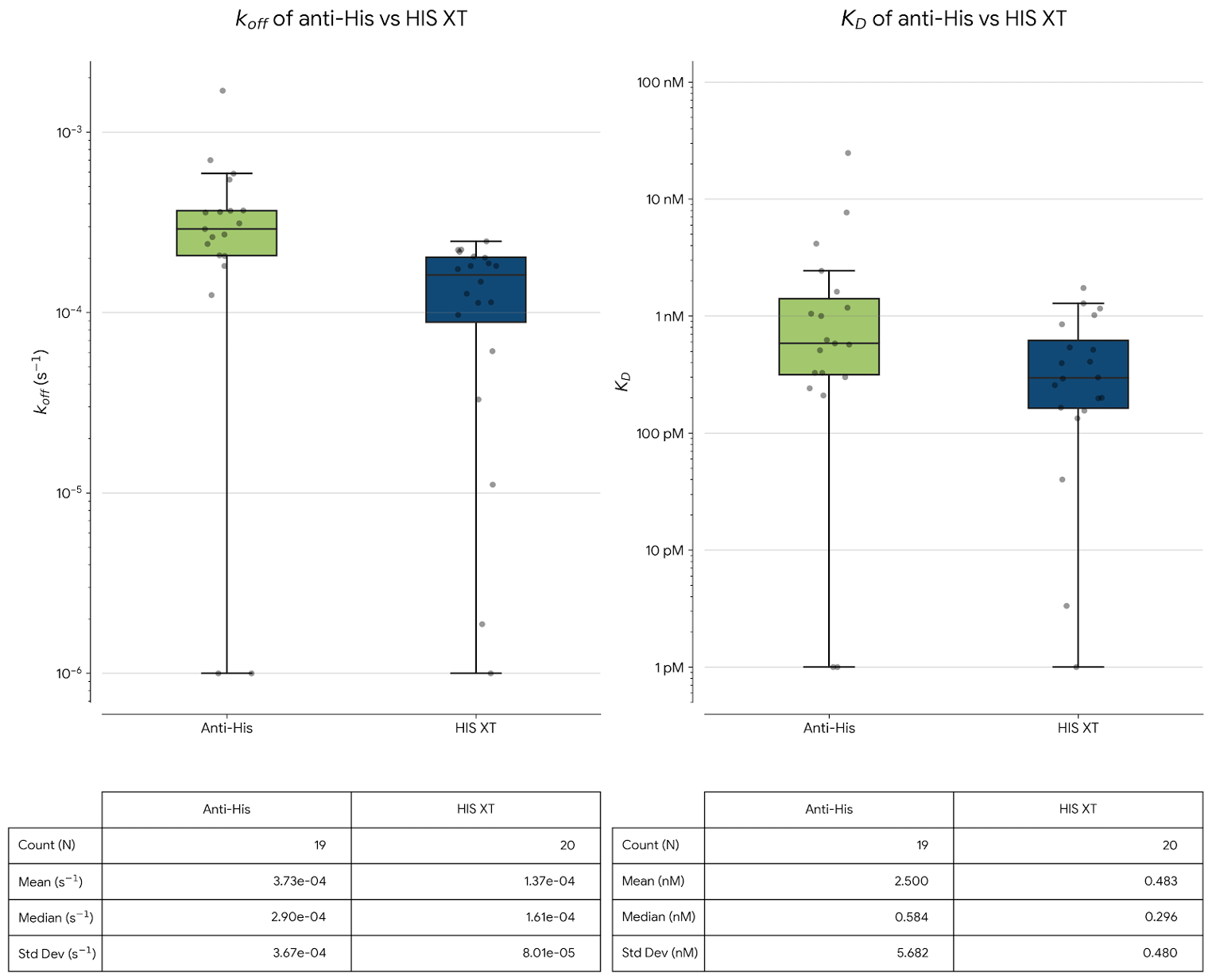
HIS XT Probe: Advanced His-Tag Capture for Kinetics, Quantitation, and Epitope Binning

Download our new Anti-His (HIS) XT Probes Application Note and Product Note

Get the Complete HIS XT Technical Documentation

Why Download These?
Struggling with baseline drift in His-tag assays?

The HIS XT Application Note shows you how AI-designed NovoBody™ probes deliver:
✓ 58% reduction in baseline drift
✓ 4x higher signal resolution
✓ Cleaner kinetics data for weak binders
✓ Extended probe lifetime (10+ regeneration cycles)
✓ Zero Fc interference

Inside you’ll find:
– Performance comparison data
– Application protocols (kinetics, quantitation, epitope binning)
– Customer validation results
– Technical specifications

Complete the form below to access the documents

Resources

HIS XT Biosensors for His-tagged Protein Analysis

Resources

​​​Selection guide for biosensors that bind his-tagged proteins​ 

Selection Guide: Gator Probes for His-tagged Protein Capture  

Gator Bio offers three His-tag capture chemistries, each optimized for different experimental requirements. Selection depends on sample matrix complexity, assay needs, buffer compatibility, and analyte characteristics. 

Download PDF

Recommendations based on sample characteristics: 

Sample/Assay CharacteristicsAnti-His
(PN: 160009)
Ni-NTA
(PN: 160016)
Anti-His (HIS) XT
(PN: 160050)
Crude samples or complex matrices
Buffers with reducing agents or chelators
Picomolar affinity measurements
Small analytes (< 15 kDa) or weak interactions
Analysis of Fc receptor binding
Sample-limited applications
Standardized, high-throughput workflows in clean buffers
Table 1: Recommended His-capture probes for common sample and assay needs

FeatureAnti-His (Cat# 160009)Ni-NTA (Cat# 160016)Anti-His (HIS) XT (Cat# 160050)
Capture SurfaceMonoclonal AntibodyNi-NTA CoordinationAI-Designed NovoBodyTM
ApplicationsQ / K / EPQ / K / EPQ / K / EP
Quantitation Dynamic Range0.25 – 500 µg/ml 0.1  -1000 µg/ml 0.2 – 1000 µg/ml 
Sample RequirementsHighModerateLow
Compatible Sample MatrixPurified proteins  
E coli lysate 
CHO Lysate 
Expi293 Lysate 
Purified proteins Purified proteins 
E coli lysate 
CHO lysate 
Expi293 lysate 
Regeneration / Reuse5-10 regenerations 10+ regenerations10+ regenerations 
Key StrengthsSpecific His-tag recognition; compatible with many buffers Simple, widely used capture chemistry; broad dynamic range Higher signal response per binding event, excellent ligand affinity, low ligand use, optimized to reduce avidity 

Table 1: Feature comparison between Gator Bio Anti-His, Ni-NTA, and Anti-His (HIS) XT probes.

Questions?

Our team is here to help. Whether you’re looking for application guidance, technical specifications, or sample data, we’ll make sure you get the details you need to move forward with confidence. 

Contact Us

Resources

The Evolution of Antibody Screening: Automation Integrated BLI for Next-Generation Discovery Workflows Streamlining Biologic Workflows with Label-Free Quantitation and Binding Analysis

Resources

Streamlining Biologic Workflows with Label-Free Quantitation and Binding Analysis

Resources

High-Throughput (HTP) label-free Kinetics Screening using Gator-Pro in Early single domain antibody Discovery: A Comparative Analysis with Phage Display Samples from Periplasmic extract