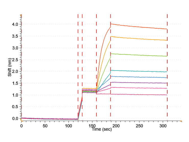
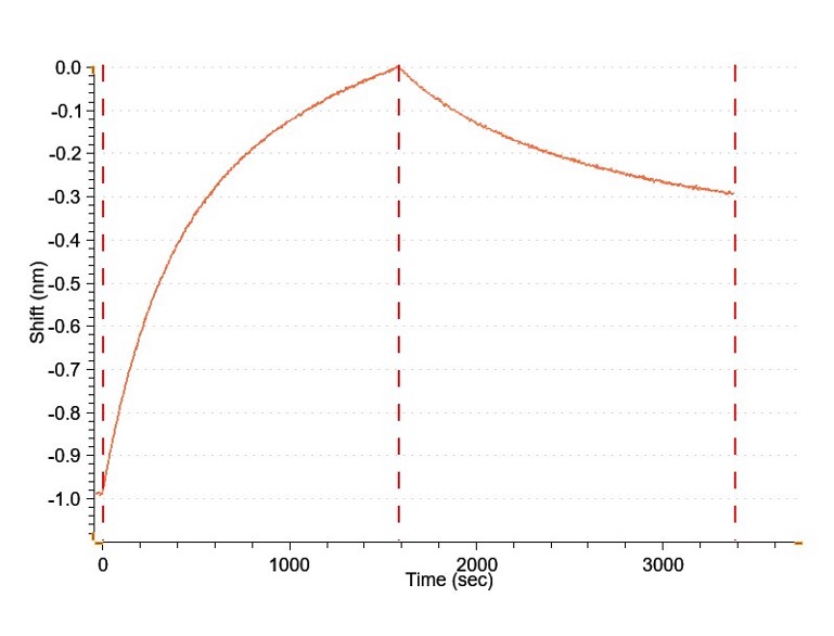
Anti-His (HIS) XT Probes HIS XT Biosensors for His-Tagged Protein Analysis Product Number: 160050 Product Description: A tray of 96 Gator Anti-His (HIS) XT Probes coated with an Anti-His NovoBody(TM) for high-performance His-tagged protein capture, for use in Q/K/QKR/EP assays Buy now Advancing antibody discovery Industry’s First AI-Designed Anti-His Probes Deliver Superior Performance for His-Tagged Protein Analysis Gator® HIS XT Probes achieve exceptional His-tag binding affinity with industry-leading baseline stability and 4x higher signal resolution—powered by AI-engineered NovoBody™ technology from Monod Bio. Experience breakthrough performance for His-tagged protein characterization with the first biolayer interferometry probes to incorporate computationally designed binding proteins. HIS XT Probes deliver superior capture strength, extended probe lifetime, and precise real-time data for quantitation, kinetic analysis, and epitope binning applications. Download Flyer AI-Designed Technology. Superior Results. Unlike traditional anti-His probes coated with mouse monoclonal antibodies, HIS XT Probes feature Monod Bio’s AI-designed NovoBody™ binding proteins engineered for: Elimination of Fc interference for advanced applications Superior affinity to His-tagged proteins Industry-leading baseline stability (58% reduction in drift) 4x higher signal resolution for weak interactions Extended probe lifetime with robust regeneration Learn more about NovoBody Binders HIS XT Anti-His Previous Next Superior Baseline Stability Minimizes Drift for High-Resolution Kinetic Analysis of His-Tagged Targets The Gator HIS XT Probe delivers high‑resolution kinetic analysis of His‑tagged targets by providing superior baseline stability, which is essential for accurate kinetic studies and minimizes data artifacts from drift. Its exceptional low baseline drift and high loading capacity produce cleaner sensorgrams with better fit quality, enabling precise determination of association/dissociation rates even for slow off‑rates. Lower loading levels further reduce avidity effects compared to traditional His probes, while HIS XT ‘s optimized design improves overall data quality for protein–protein, protein–antibody, and protein–peptide interactions. Buy now High-Sensitivity, Stable Capture for Fast, Robust Kinetic Characterization of His-Tagged Proteins HIS XT Probes are suited for robust kinetic analysis due to their high ligand loading capacity and exceptionally stable baseline performance. The NovoBody-based capture surface exhibits equal sensitivity toward both N-terminal and C-terminal His tags with far faster binding rates for faster assays. In most cases, ~1–5 µg/mL His-tagged protein is sufficient to load the ligand onto the sensor and perform kinetic characterization with its binding partners. When performing regeneration, the captured His-tagged protein will be removed with the analyte and will require to be re-captured prior to the analysis of the next analyte sample. Download Application Note Representative kinetics (K) assay sensorgram showing capture of His-tagged CD64 on the His XT probe, followed by association and dissociation of human IgG1. “We are pretty impressed. These new HIS XT probes effectively eliminate Fc-mediated interactions and can be reliably used to assess direct binding or in other experiments with Fc interacting partners with confidence. We are very interested in working this product into our workflow.” Zachary A. Bornholdt, Ph. D. CEO, Eitr Biologics, Inc. “We evaluated Gator’s new HIS XT probes in an epitope binning study and observed excellent performance. The probes showed ideal capture behavior, high-quality kinetic traces, and robust regeneration. The resulting data was clean and straightforward to interpret, enabling rapid, actionable insights.” Allison Nixon, Ph. D. Head of Platform Sciences, Ability Biotherapeutics “The HIS XT probes gave less error, and results were closer to the published dissociation constant. They also load ~2x as much of the same protein prep in half the time as traditional anti-His probes. Overall, the signal is much cleaner/more stable. Also, it’s cool to watch these capture his-tagged nanobodies out of supernatant from our neoSwitch strain!” David Ichikawa Scientist III, Neochromosome, Inc. Previous Next His-HSA standard curve using 2-fold dilution series from 1000 µg/mL to 0.24 µg/mL and measured using the Gator® HIS XT probe with a 120 sec acquisition at 400 rpm. Versatile One-Step and Two-Step Quantitation for His-Tagged Analytes and Capture Proteins HIS XT Probes support both one-step and two-step quantitation workflows. In one-step quantitation, His-tagged analyte in unknown samples binds directly to the HIS XT probe and is quantified against a standard curve. In two-step quantitation, a His-tagged capture protein is first loaded onto the probe, followed by measurement of analyte binding to the captured protein. Both methods can be analyzed using endpoint or rate-based probe response to concentration. Robust Regeneration Supports High-Throughput Tandem Epitope Binning The HIS XT probes high loading capacity, stable baseline, and regeneration robustness make it ideal for tandem epitope binning workflows. In tandem binning, the His-tagged antigen is captured on HIS XT probes, followed by sequential exposure to two antibodies. If the secondary antibody can bind, the two antibodies do not compete (not in the same epitope bin); if there’s no binding, they compete (same epitope bin). Complete characterization of 256 antibody pairs can be performed in under 4 hours using the Gator Plus system. Representative sensorgram of a tandem epitope binning experiment Human IgG1-CD64-his Fc Receptor binding to human IgG4- CD32A-H167-his Previous Next Enhance Fc Receptor Binding Assays with Cleaner Baselines and Superior Capture HIS XT probes do not contain any antibody Fc, enabling accurate, high-quality Fc-receptor interaction studies. With improved capture efficiency and proportional optical response across a wide dynamic range, HIS XT enables reliable quantitation even at low ligand concentrations. Moreover, it maintains stability and reproducibility across regeneration cycles, supporting consistent performance for both N‑ and C‑terminal His‑tagged Fc receptors for any Fc engineering workflow. Key Features 4x Higher signal resolutionEnables analysis of small analytes and weak interactions Superior baseline stability58% reduction in signal drift, enabling confident measurements of pM affinities 5x reduction in sample consumptionAn estimated $768 savings on reagents and plates 10x faster loadingIncreased throughput to meet your workflow needs Reliable regenerationMinimal performance loss High dynamic rangeFast and accurate quantitation without sample dilution Previous Next Still fighting baseline drift on your current platform? Gator Bio’s Anti-His XT Probes deliver reliable, high-affinity results that make quantitation and kinetics faster, easier, and more consistent. Stock up today and keep your lab running at full speed. Buy now To find out if the HIS XT Probes are a good fit for your application, please see our His-Capture Probe Selection Guide. View Product Selection Guide